RANGKUMAN MATERI PENATIKA 3
5.1.Luas dan Estimasi Menggunakan Jumlah Berhingga
Cara Mencari Luas di Daerah Kurva
Solusi :
Gunakan Estimasi
1.Estimasi Jumlah Atas (Poligon Luar)
2.Estimasi Jumlah Bawah (Poligon Dalam)
- Luas menurut Jumlah Atas (Poligon Luar)


2. Luas menurut Jumlah BAWAH (Poligon DALAM)

Untuk membandingkan nilai antara jumlah estimasi atas dan bawah lihatlah tabel berikut.



Nilai Rata-rata Fungsi Kontinu Tak-Negatif


5.2. Notasi Sigma dan Limit JumlahBerhingga
Pengertian Notasi Sigma
Notasi Sigma yaitu merupakan simbol untuk menjumlahkan beberapa jumlah bilangan terurut yang mengikuti suatu pola dan aturan tertentu. Materi notasi sigma sendiri masih mempunyai hubungan dengan materi jumlah reiman, barisan dan deret, baik aritmatika atau geometri. Notasi sigma Matematika dapat dilambangkan dengan simbol = ∑.
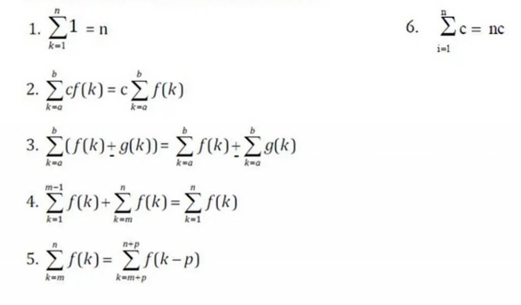
Sifat-Sifat Notasi Sigma

Notasi Sigma dan Limit Berhingga

Aturan Aljabar untuk Jumlah Berhingga

Contoh

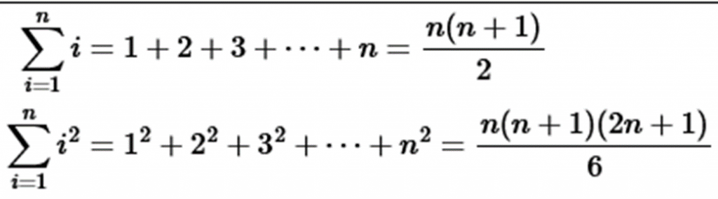
Jumlah Rieman

Pada dasarnya, Jumlah Riemann merupakan suatu aproksimasi (pendekatan) numerik untuk mencari luas di bawah kurva suatu fungsi dengan membagi selang n menjadi n subselang. Jika kita dekati sampai tak hingga, maka kita sebut sebagai Integral Riemann. Dalam proses perhitungan Jumlah Riemann saat daerah yang diarsir dipartisi dalam selang tertentu sebanyak n subselang, kita akan membutuhkan rumus deret jumlah berikut

